化学分解-GC/MS法によるポリウレタンの分析(C0398)

縮合系高分子の詳細な構造解析が可能

概要

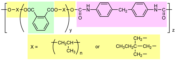
ポリウレタンなどの縮合系高分子の構造解析を行う際、熱分解GC/MSだけでは情報が十分に得られない場合があります。このような時、メタノールを用いた化学分解を行うことで、より詳細な構造情報が得られるようになります。本事例ではポリウレタン製軽石をメタノールで分解し、GC/MS測定を行った結果を紹介します。ジフェニルメタンジイソシアネート、フタル酸ジメチル、トリメチロールプロパン、プロピレングリコール類が検出され、本製品はこれらの素材から構成されるポリエステルウレタンと推定されました。

データ

メタノールによる化学分解法

R-COO-R’ + CH3OH → R-COOCH3 + R’-OH
特長:エステル結合、ウレタン結合などが選択的に分解される

推定構造

MST技術資料No.C0398
掲載日2015/10/22
測定法・加工法[GC/MS]ガスクロマトグラフィー質量分析法
製品分野日用品
分析目的製品調査

関連する分析事例

イメージ 掲載日 タイトル 測定法・加工法 製品分野 分析目的
リグニンの抽出・化学分解・構造解析 2024/09/05 リグニンの抽出・化学分解・構造解析(C0719) [GC/MS]ガスクロマトグラフィー質量分析法
[LC/MS]液体クロマトグラフィー質量分析法
[NMR]核磁気共鳴分析
高分子材料
バイオテクノロジ
環境
組成評価・同定
化学結合状態評価
構造評価
“におい成分”のGC/MS分析法による解析 2024/06/13 “におい成分”のGC/MS分析法による解析(C0713) [GC/MS]ガスクロマトグラフィー質量分析法
医薬品
化粧品
日用品
食品
化学結合状態評価
機械部品の洗浄前後における付着成分調査 2023/04/13 機械部品の洗浄前後における付着成分調査(C0693) [GC/MS]ガスクロマトグラフィー質量分析法
製造装置・部品
その他
組成評価・同定
エポキシ樹脂硬化剤の分析 2022/11/17 エポキシ樹脂硬化剤の分析(C0678) [GC/MS]ガスクロマトグラフィー質量分析法
電子部品
高分子材料
日用品
組成評価・同定
製品調査
樹脂(合成高分子)の定性・構造解析 2021/12/23 樹脂(合成高分子)の定性・構造解析(C0667) [GC/MS]ガスクロマトグラフィー質量分析法
[FT-IR]フーリエ変換赤外分光法
電子部品
製造装置・部品
日用品
組成評価・同定
化学結合状態評価
製品調査
ポリカーボネートの末端基構造解析 2021/08/19 ポリカーボネートの末端基構造解析(C0655) [GC/MS]ガスクロマトグラフィー質量分析法
電子部品
製造装置・部品
日用品
組成評価・同定
製品調査
オイルの分析(GC/MS編) 2021/04/08 オイルの分析(GC/MS編)(C0648) [GC/MS]ガスクロマトグラフィー質量分析法
製造装置・部品
医薬品
化粧品
日用品
組成評価・同定
製品調査
部材の有機汚染分析 2020/12/28 部材の有機汚染分析(C0636) [GC/MS]ガスクロマトグラフィー質量分析法
製造装置・部品
組成評価・同定
フロンガスの定性分析 2020/11/26 フロンガスの定性分析(C0641) [GC/MS]ガスクロマトグラフィー質量分析法
日用品
環境
その他
組成評価・同定
製品調査
フッ素樹脂の熱分解物の評価 2020/11/05 フッ素樹脂の熱分解物の評価(C0637) [GC/MS]ガスクロマトグラフィー質量分析法
電子部品
製造装置・部品
日用品
組成評価・同定
製品調査

分析のご相談・お申し込み

知識豊富な営業担当が、最適な分析プランをご提案。
分析費用のお見積りもお気軽にお問い合わせください。
相談・お申し込みは、専用のフォームかお電話でどうぞ。

webからのお問い合わせはこちら

分析お問い合わせフォーム

お電話からのお問い合わせはこちら

ページトップへ